回报损失会影响插入损失,即接收器的能量量。
退货损失是特征连接器的最重要的S参数项之一。您可以通过查看此S参数术语来快速从不良连接器中分辨出一个好连接器。这是决定好是坏的原因。
The return loss, or S11,用于单端S-参数或SDD11对于差分S参数,是反射信号。将正弦波发送到互连中,看看从同一端口回来的内容。反射信号与入射信号的比率是回报损失。
获得反射信号的唯一方法是,当入射信号遇到沿其路径某个地方的阻抗中发生变化时。每种不连续性的反射的组合都导致每个频率的回报损失。
The reflection by itself isn’t the real problem. The real problem is the loss in transmitted signal. After all, what’s important in a channel is the signal that gets to the receiver. Some reflected signal means that less of the transmitted signal makes it to the receiver. So how much reflected signal will create a significant loss in the transmitted signal?
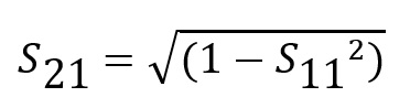
当互连的衰减较低时,入射信号,反射信号和到达发射器的信号之间存在连接。大多数工程师认为这是S11+ SS21= 1.但是请记住,每个S参数都大约是电压。没有电压保存之类的东西。只有能量保护。
The energy in each S-parameter is related to the square of the S-parameter, so the connection is S11² + s21² = 1, or:
不w we can explore how much return loss will begin to affect insertion loss, the signal at the transmitter. We usually measure S11and SS21在分贝中。因此,我们需要将分贝值转换为大小,进行计算,然后转换SS21magnitude value back into decibels.
The graph in Figure 1 shows the connection between how much S11(dB), will affect S21(D b)。令人震惊的是,您可以拥有多达-10 dB的S11before you see even a 0.5 dB drop in S21。这就解释了为什么在S上的典型规格11可能小于-13 dB。更大的值将开始影响传输信号。保持回报损失以下-13 dB意味着发射信号不会受到反射信号的影响。
如果回报损失小于-10 dB,我们不会期望它对插入损失产生任何影响。但是,如果它达到-10 dB以上,我们希望看到对插入损失的影响。图2显示了两个互连的示例,它们均为4英寸长的大约50Ω微带传输线,末端有不同的连接器。
当回报损失大于大于-10 dB时,插入损失会受到影响(图2A)。只要回报损失小于-10 dB,就不会对插入损失产生影响(图2B)。
The criterion to decide good or bad in most specs is the -13dB point. A “good” connector has a return loss below -13 dB and will have minimal impact on the insertion loss and a “bad” connector will have a return loss larger than -13 dB. It may still work in the system, but you have to do your own analysis to determine if it is still acceptable. Usually, the frequency at which a connector’s return loss exceeds -13 dB defines the bandwidth up to which it is considered “transparent.”
Related articles
- S参数的功能和原理是什么?
- 阻抗匹配和史密斯图,第1部分
- Impedance matching and the Smith Chart, Part 2
- VSWR和S之间的区别11reflection coefficient
- Six key considerations when selecting and integrating GHz connectors into 5G applications
Filed Under:Connector Tips
