由Peter Nachtwey,总裁,三角洲计算机系统,Inc。战斗地,洗。
仿真和建模可以节省您的时间和金钱在液压系统设计中。
运动系统越来越依赖于闭环控制,以实现对生产过程的更多影响。但是,用于设计流体电源系统的旧拇指规则并不总是适用于具有闭环控制的系统。随着新工具的开发,流体动力运动系统的数学建模和仿真越来越好,如果您利用这些新工具,您可以提高满足您的设计目标的机会。
典型液压系统的示意图。系统组件的动态被建模为一阶微分方程,并用于系统仿真。
数学建模和虚拟原型设计让您在投资建设物理原型之前,您可以想象和预测您的设计概念。事实上,在机器构建之前,它可以使用今天的技术开发,测试和优化桌面的运动系统。这使您可以为组件做出最佳决策。例如,您可以尺寸液压缸和阀门,同时节省时间,以更快地开启设计迭代,并通过快速转弯和省钱的节省资金,并通过最小化可能由未验证的运动控制程序导致的身体风险来确保更安全的操作在真正的硬件上运行。
建模和仿真对具有少量运动轴的机器是有益的。对于具有许多移动部件的复杂多轴机器,硬件仿真可能是宝贵的。机器构建后发现的错误通常昂贵且难以修复,并且可以影响系统启动日期。设计人员通过制作系统的型号开始,可以尝试不同的“什么”的情景,并查看非标准条件的影响。
建模以获得最佳分量值
元件值的选择并不需要完美——运行闭环控制算法的运动控制器可以补偿次优选择——但如果元件值远非最优,则系统的效率将受到影响。一个关键因素是系统的固有频率。组件的选择应该使系统能够比实际操作中更快地响应(通常至少快4倍)。
您应该首先了解运动系统的稳态性能(例如,当速度恒定时系统在时段期间如何响应运动控制器)。用于计算执行器速度的VCCM方程基于该概念。这仅提供了系统响应的第一个线索,因为负载不能立即加速到速度,并且一个不一定假设将有足够的力将系统加速到汽缸的长度中的所需速度。
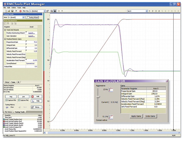
Delta计算机系统运动控制器具有内置于RMCTOOLS运动控制软件中的操作模拟器。输入有关系统结构的信息,包括致动器增益,阻尼因子和自然频率等因素。软件绘制系统的模拟运动,与其建立之后的真实系统的运动相同。
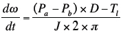
系统的详细模型必须考虑气缸或电机,阀门,蓄电池,泵和连接管道。这些组件的动态信息的信息被写为一阶微分方程的系统,其表达参数的变化率作为该参数和其他参数的函数。模拟以用于加速度或角度加速度的公式开始,这取决于致动器是否是汽缸或电动机。然后随着时间的推移集成加速度以提供时间的速度和位置。气缸和电机加速的方程是:
![]()
对于气缸和
![]()
对于电动机
在哪里:
DV / DT.速度对时间的变化率是否等于加速度
dω/ dt.是相对于时间相对于角度加速度的角速度的变化率
FL.和T.L.是力或扭矩载荷。它们显示为常量,但它们可以是变量或函数,随着时间或反对的函数而变化。
P.一种和P.B.压力是在活塞或马达的两边吗
一种一种和一种B.是活塞两侧的区域
D.每转液压马达的位移是多少
m是负荷的质量
j是旋转惯性
两个主要的未知数是压力。从这一点上看,液压缸和液压马达仿真之间的差异很小,如果有的话。
例如,我们可以计算在瓶盖或“A”侧的压力变化率如下:

在哪里:
β是油模量,描述了油的可压缩性的常数
问:。一种是油流入或从气缸的盖子侧流动
区域。一种是活塞的表面积在圆筒的“a”侧面上
速度是活塞的速度
invol.。一种是活塞的“A”侧面上的气缸的最小体积
位置活塞的位置是什么
P.S.是供应压力
P.一种是圆筒的盖子侧的压力
P.B.压力是否在气缸的杆侧
P.T.是坦克的压力
进入或流出气缸盖侧的流量方程为:

请注意阀芯位置、所有压力、执行机构位置和速度都在每时每刻都在变化。这里有一个关于位置,速度,加速度,四个压力,蓄能器,和泵的微分方程。如果多个轴由同一个泵和蓄能器提供动力,则应将附加轴的方程也添加到微分方程系统中。龙格-库塔(RK4)等方法可用于计算参数在未来将如何变化。
要使用模型来模拟系统操作随着时间的推移,所有单独的微分方程都需要并行解决,并以约100至125微秒的时间间隔来解决。精细时间间隔允许更准确地预测参数的未来状态。该仿真技术允许您了解轴1的运动是如何影响轴2的运动,因为供应压力下降。这些模拟是数学密集型的,可以由当今强大的计算机处理,导致如果各个组件的型号准确,可能会非常好。
一个例子
作为示例,图3和图4示出了用具有斜坡发生器的PID控制器控制的液压马达的模拟。图3显示了作为时间的函数的角度位置和速度。由于实际位置和速度线位于目标位置和速度线的顶部,因此系统设计和调谐。该模拟需要同时解决八个线性和非线性微分方程。
该图显示了作为模拟系统的时间的函数的角度位置和速度。因为实际位置和速度线位于目标位置和速度线的顶部,所以系统的设计和调谐良好。
图4显示了模拟圆筒内发生的情况。流动和压力是绘制的。没有压力靠近供应压力或大气压,因此运动应该是正常的。随着供应压力下降,泵流量增加。这反映了泵对压降的反应。系统中的蓄能器使压力变化太多或太快,为泵响应。其他流程是预期的。
该曲线显示模拟圆筒内发生的情况,流量和压力绘制。没有压力均接近供应压力或大气压,因此运动应该是可接受的。
模拟允许您更改组件并快速查看更改对系统控制的影响。这允许您优化组件选择,同时介绍系统的弱部件的洞察力。
开发模型
如何获得用于构建系统模型的信息?更常用的方法是根据系统中不同部分的可用信息以及它们如何组合在一起来创建模型。这通常需要对大多数组件(如果不是所有组件)有良好的规范。这种信息通常很难获得,因为制造商通常不会提供所有必要的信息。
例如,即使是泵的制造商也不太可能会说出其泵在毫秒级别的压力函数中的变化。当执行器快速加速到高速时,这可能对供应压力降低的程度产生大。您可以做的最好的是通过增加蓄能器的大小或添加更多蓄能器来进行保守估计和补偿。但是,如果播放安全的硬件成本被视为过于昂贵,则必须对测试泵测试并建立更好的模型来重量此费用。
一些较大的移动设备制造商测试了他们正在考虑购买的部件,以便获得比发布规格中可用的更详细信息。例如,了解这些客户更多关于供应商的阀门的信息,而不是供应商的阀门是不令人惊讶的。
幸运的是,某些系统模型可能很简单。通常是一个具有增益,自然频率和阻尼因子的简单二阶模型。这通常是控制工程师的情况。然而,液压设计师通常需要更多。
获得模型的另一种方法是进行系统识别。这涉及到通过对阀门控制信号的阶跃变化来激励真实系统(或模拟系统),并记录系统如何响应控制输入。通过试错来修改模型常数,直到模型的响应与实际系统的响应相似。有一些函数和数学技术,如Levenberg-Marquardt算法,可以快速找到模型的最佳值,以最小化模型和实际系统之间的误差。在设计过程中,当需要缩小部件的工作特性时,系统识别是一个实用而有用的部分,例如泵。同样,这需要时间和资源,可能是不可用的。
带内置支持的运动控制器
运动控制器制造商可以通过提供激发系统的工具并监控结果,使系统识别过程更容易设计。这可以在实际硬件上或在构建真实硬件之前构造的系统硬件的模型上完成。
为了给液压系统的运营商概念在构造之前将如何执行,一些运动控制器制造商提供了控制器的操作模拟器。设计人员可以编写他们的控制程序并在项目周期早期测试它们及其操作员界面,并与液压和机械系统设计并行。
警告
建模和模拟可能非常有帮助,但实践经验说,不要完全依赖于这些工具,以保证设计将有效。有太多因素没有建模,这可能会产生对真实系统如何工作的影响。诸如管道中的弯曲等小因素也可以对系统性能产生影响。当系统无法正常工作时,模型更可靠。
不过,做系统建模和仿真总比不做要好得多。在初始设计周期内,节省开发时间、增加系统效率和提高安全性的好处是显著的。为了最大化这些好处,你应该寻找具有模拟功能的运动控制器。
Delta Computer Systems,Inc。
www.deltamotion.com.
了下:流体动力那液压设备+组件那运动控制•电机控制那模拟






告诉我们你的想法!